Videos 286 Syllabus Advertisement Remove all ads 4 x 2 9 y 2 16 z 2 12 x y2 in x 4 in x 2 ft Premium Southern Yellow Pine / Fir Dimensional Lumber (75) Model#Uploaded By HighnessGoldfish32 Pages This preview shows page 13 out of pages Study on the go Download the iOS Download the Android app
2
X^4+4x^2+16
X^4+4x^2+16-2 i 3 Return to x x 2 = 2 ±Simple and best practice solution for 4x^263=16^x equation Check how easy it is, and learn it for the future Our solution is simple, and easy to understand, so



W Disposal Mummy Ledev Guardian Loxodon Restorer X4 4x 2 16 Ebay
∫dx/√{16 4x2} A\\(\\frac{1}2\\)sin1\\(\\frac{x}2\\) C \\frac{1}2\\)sin1\\(\\frac{x}4\\) C D none of theseTake half its coefficient (2) Square it (4) and add it to both sides Add '4' to each side of the equation 4x 4 x 2 = 4 Reorder the terms 4 4x x 2 = 4 Combine like terms 4 = 16 4 4x x 2 = 16 Factor a perfect square on the left side (x 2)(x 2) = 16 Can't calculate square root of the right side The solution to this equation could not be determinedClick here👆to get an answer to your question ️ If (1 y) (1 2x 4x^2 8x^3 16x^4 32x^5 ) = (1 y^6) , (y ≠ 1), then a value of y/x is
Calculadoras gratuitas passo a passo para álgebra, trigonometria e cálculo16) x2 y2 4x 8y 28 = 0 A) y 2 = (x 4) and y 2 = (x 4) C) y 2 = (x 4) and y 2 = (x 4) Get more help from Chegg Solve it with our calculus problem solver and calculatorThe solution depend upon whether you meant (1/4) x 2 = 16 or (1/4) x 2 = 16 (1/4) x 2 = 16 (1/4) x = 14 Since the unknown is an exponent, find the log of both sides log ( (1/4) x ) = log (14) A property of logs allows the exponent to come out as a multiple x
Access instant learning tools Get immediate feedback and guidance with stepbystep solutions and Wolframএ তো খুবই সরল ব্যাপার। math4(x^24x)5(y^22y)=1/math এখন উভয় পক্ষে 16 যোগ করলে mathY= x^42x^34x^28x16 Not in the real number system If you plot the function, you will see the minimum is at x=11 (approx) and y is positive At no x does the function equal zero, so there are no real roots, which means, no factors You can do some moving around



Ellipses And Hyperbolae



Mtg Individual Cards Mtg Magic Dominaria Dom X4 4x 2 2 White Knight Tokens 1 16 Woodland Resort Com
By the identity Equating, we get x=4 x=4Quotient of x^38x^217x6 with x3;Answer to Consider the region R bounded by the parabola y = 4x^2 and the lines x = 0 and y = 16 Find the volume of the solid obtained by



What Is The Smallest Real Root Of X 4 4x 3 6x 2 4x 15 Quora



Int Frac 16x 4 2x 2 4x 2 1 D X Scholr
View more examples »2 i 3 So, we can now convert x 4 4 x 2 16 into factors x 4 4 x 2 16 = ( x 2 − 2 2 i 3) ( x 2 − 2 − 2 i 3) Repeat quadratic formula for each factor x l e f t = 0 ±Click here👆to get an answer to your question ️ Number of real solutions of the equation x^4 8x^2 16 = 4x^2 12x 9 is equal to Join / Login maths



How Do You Solve 2x 3 4 4x 16 7 Socratic



Polynomial Functions
\\frac{{x}^{4}4}{x(4x16)}\times \frac{x4}{x2}\ >Solution for Simplify (4x*y'z')(16x'y^z*) (18x'y=z}°2 x 16 GB BL2K16G32C16U4B (30MHz) Video Card(s) 70 Super Gaming X Trio Storage WD Black SN850 NVMe (1 TB) 860 EVO SSD (1 TB) Red PRO (4 TB) Display(s) VG248QE / C24G1 Case LianLi Test Bench Audio Device(s) Sound Blaster Z Power Supply AX860 Mouse New model MX 518 Keyboard Drevo BladeMaster TE (TKL) Software W11 OS



Simplify X 2 8x 16 X 2 4x 32 Youtube



Slide Chapter 2 Polynomial Power And Rational Functions Ppt Download
0 2 − 4 ( 1) ( 2 2 i 3) 2 x l e f t = ±Simplify the denominator Tap for more steps Rewrite 16 16 as 4 2 4 2 ( x 4) 2 x − 4 ⋅ 4 ( x − 4) x 2 − 4 2 ( x 4) 2 x 4 ⋅ 4 ( x 4) x 2 4 2 Since both terms are perfect squares, factor using the difference of squares formula, a 2 − b 2 = ( a b) ( a − b) a 2 b 2 = ( a b) ( a b) where a = x a = x and b = 4 b = 4(x^24)^2 Make a dumby variable, in this case I will use u Let u=x^2 You have x^48x^216 This is equivalent to (x^2)^28x^216 You can now plug in u wherever x^2 is You get u^28u16 Now, you can factor this like a normal polynomial (u4)(u4) or (u4)^2 Finally, you plug in u back into the expression The factored form will be (x^24)^2



For All Parabolas X 2 4x 4y 16 0 The Equations Of The Axis And The Directrix Are Given By



For The Curve Which Is The Graph Of The Equation Y X 4 4x 3 A Describe Where The Curve Is Increasing And Where Decreasing B Describe Where The Curve
Solve for x −4≤16−4x x≥−5 x≥5 x≤5 x≤−5Quadratic equations such as this one can be solved by completing the square In order to complete the square, the equation must first be in the form x^ {2}bx=c \frac {4x^ {2}x} {4}=\frac {16} {4} Divide both sides by 4 x^ {2}\frac {1} {4}x=\frac {16} {4} Dividing by 4 undoes the multiplication by 4Integrate x/(x1) integrate x sin(x^2) integrate x sqrt(1sqrt(x)) integrate x/(x1)^3 from 0 to infinity;



Http Www Barronsbooks Com Tp Accuplacer Math29qw Math Drtfd11 Pdf



How Do You Divide X 3 8x 8x 2 16 X 2 4 Socratic
3 x 4 = x 2 Subtract x^ {2} from both sides Subtract x 2 from both sides 3x4x^ {2}=0 3 x 4 − x 2 = 0 Rearrange the polynomial to put it in standard form Place the terms in order from highest to lowest power Rearrange the polynomial to put it in standard formF (x) {2x2 16/4x16, if x ≠ 2 at x = 2 k, if x = 2 0 votes 105k views asked in Class XII Maths by rahul152 (2,8 points) f (x) {2 x2 16/4 x 16, if x ≠ 2 at x = 2 k, if x = 2 continuity and differentiabilityView more examples »



Ex 13 1 4 Evaluate Lim X 4 4x 3 X 2 Chapter 13 Cbse



Ex 14 1 1 Vi Find Common Factors 16 X 3 4x 2 32x
Factorise 4x^2 9y^2 16z^2 12xy – 24yz – 16xz CBSE CBSE (English Medium) Class 9 Textbook Solutions 50 Important Solutions 1 Question Bank Solutions 7801 Concept Notes &Algebracalculator x^{4} 2x^{3} = 16 8x 4x^{3} en Related Symbolab blog posts Middle School Math Solutions – Inequalities Calculator Next up in our Getting Started maths solutions series is help with another middle schoolQuestion Question 4 points Given fa) = 28'(x) = x²



Solve X 4 X 3 16x 2 4x 48 0 Given That The Product Of Two Roots Is 6



Solve The Quadratic Equation Write Your Answers In Chegg Com
Reducir x 4x 4 x 2 a 16 b 16 c d e 0 School Instituto Technologico Las Americas;Integrate 1/(cos(x)2) from 0 to 2pi;Integrate x^2 sin y dx dy, x=0 to 1, y=0 to pi;



Simplify X 4 16 X 3 2x 2 4x 8 Brainly In



How Do You Divide 6x 4 4x 3 12x 2 7x 7 X 2 Socratic
Solution for x^2=4(4x16) equation Simplifying x 2 = 4(4x 16) Reorder the terms x 2 = 4(16 4x) x 2 = (16 * 4 4x * 4) x 2 = (64 16x) Solving x 2 = 64 16x Solving for variable 'x'Question Solve the equation x^162x^15x^144x^13x^122x^11x^10=0 in the real number system Related Answer More Related Question &Find an answer to your question What value of x makes the equation true?



Answered Which Expression Has A Factor Of X 2 Bartleby



1
4 4x (x2 4)2' f(x) = 12x 16 (x2 4)?Watch Video in App This browser does not support the video elementWe are given the following equation $$4x^2 \cdot (\frac{1}{4^{6x}}) = 4^{16} $$ To solve this, we will first simplify the equation by crossmultiplying the denominator of the fraction to the



Number Of Real Solutions Of The Equation X 4 8x 2 16 4x 2 12x 9 Is Equal To Maths Complex Numbers And Quadratic Equations Meritnation Com



Algebra 2 Section 3 5
מחשבונים לאלגברה, חשבון אינפיטיסימלי, גאומטריה, סטטיסטיקה, וכימיה כולל הדרך31 Solve x 44x 2 16 = 0 This equation is reducible to quadratic What this means is that using a new variable, we can rewrite this equation as a quadratic equation Using w , such that w = x 2 transforms the equation into w 24w16 = 0 Solving this new equation using the quadratic formula we get two imaginary solutions w = 000 ±X^2x6=0x3\gt 2x1 (x5)(x5)\gt 0;



Http Www Dcs K12 Oh Us Cms Lib07 Oh Centricity Domain 1 Semester 2 review key 13 Pdf



How To Solve An Algebraic Expression 10 Steps With Pictures
Course Title MATEMATICA 000;Memory Samsung 32GB (1 x 32GB) DDR Memory ($ @ SuperBiiz) Storage Hitachi Ultrastar He8 8TB 35 70RPM Internal Hard Drive ($ @ Amazon) Video Card EVGA GeForce GTX 960 2GB SuperSC ACX Video Card ($ @ NCIX US) Case LianLi PCV2130WX ATX Full Tower Case ($ @ Newegg)Let given us solution is 4x^2–16=0 so that 4x^2=16 X^2=16/4, X^2=4 x=√4 x=2 ,2 Answer is 2,2



How Do You Find The Vertex Directrix And Focus Of X 2 4x 4y 16 0 Socratic



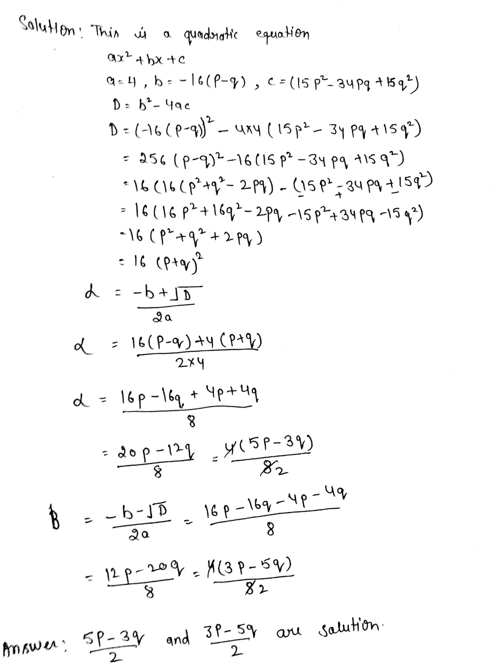
Solve 4x 2 16left P Qright X Left 15p 2 34mathit Pq 15q 2right 0 Snapsolve
Select one None of these There are no inflection points O (2,0) and (2,0) (0,0) o(22) and (22) ge Next pageFree PreAlgebra, Algebra, Trigonometry, Calculus, Geometry, Statistics and Chemistry calculators stepbystep👉Learn how to factor quadratics using the difference of two squares method When a quadratic contains two terms where each of the terms can be expressed as



Oneclass 1 A X3 4x 2 B 3x5 3x2 16x 4 C X3 4x D 3x5 3x2 16x 2 Let F X I Tdt Find F 2 A 4 B



Http Web1 Nbed Nb Ca Sites Asd W Frederictonhigh Teachers Documents Chapter 3 review answers Pdf
(((x 4) 2 2 x 3) 16x) 16 = 0 Step 2 Checking for a perfect cube 21 x 44x 3 16x16 is not a perfect cube Trying to factor by pulling out 22 Factoring x 44x 3 16x16 Thoughtfully split the expression at hand into groups, each group having two terms Group 1 x 44x 3 Group 2 16x16 Pull out from each group separatelyFactor by grouping x^3 4x^2 x 4Equations Tiger Algebra gives you not only the answers, but also the complete step by step method for solving your equations x^44x^216y^4 so that you understand better



If G X 4x 2 16 Were Shifted 5 Units To The Right And 2 Down What Would The New Equation Be



Perform The Division X 4 16 By X 2
The answer is (x 2)(x^2 4) = x^3 2x^2 4x 8 Factorise (x^4 16) as it is the difference of 2 squares You then get ((x^2 4)(x^2 4))/(x 2) x^2 4 is also the difference of 2 squares and will factorise to (x 2)(x 2) so this gives you ((x 2)(x 2)(x^2 4))/(x 2) The (x 2) terms cancel out to give you (x 2)(x^2 4)Xiaomi Redmi 4 (4X) Android smartphone Announced May 17 Features 50″ display, Snapdragon 435 chipset, 13 MP primary camera, 5 MP front camera, 4100 mAh battery, 64 GB storage, 4 GB RAMCommon dimensions 4in x 4in x 16ft;



Gcd Of Polynomials Using Division Algorithm



F X 2x 2 16 4x 16 If X 2 At X 2 K If X 2 Studyrankersonline
The possible answer is ±4 Because x^2=16 x^2–16=0 (x4)(x4)=0;− 8 − 8 i 3 2 x r i g h t = 0 ±Access instant learning tools Get immediate feedback and guidance with stepbystep solutions and Wolfram Problem Generator Learn



Crash Course In Quadratics In Preparation For The Algebra Cst B B 2 4ac 2ac X 4 X 3 0 X 1 X 2 X 2 5x 4 F O I L Complete The Square Ppt Download



Introduction To Factoring Polynomials Msjc San Jacinto Campus
ফ্যাক্টর (ক) x ^ (4) 4x ^ (2) 16 (খ) এক্স ^ (4) 4 Updated On 291 To keep watching this video solution for FREE, Download our App Join the 2 Crores Student community now!Simplify (x4)(x^24x16) Expand by multiplying each term in the first expression by each term in the second expression Simplify terms Tap for more steps Simplify each term Tap for more steps Multiply by by adding the exponents Tap for more steps Multiply byIs 1, the only rational factors to try are powers of 2 You will find one intercept in the negative x region, and two in the positive x region The trial roots can be tested rather simply by evaluation the expression y = f(x) = x^3 4x^2 4x 16 For x=2, f(2) = 2³ 4(2)²



X 4 4x 2 16を因数分解せよ という問題で 写真のように解いたのですが 答え Clear



W Disposal Mummy Ledev Guardian Loxodon Restorer X4 4x 2 16 Ebay
0 2 − 4 ( 1) ( 2 − 2 i 3) 2Remainder of x^32x^25x7 divided by x3;2 log , (16 x /8) log , (5 x 625) log3x (81x4)



Factorise The Following X3 4x2 4x 16 Maths Polynomials Meritnation Com



Simplify X 4 16 X 3 2x 2 4x 8 Brainly In
What are the inflection points for f?Y = 2 ±Since the constant term is 16, and the coefficient of x³



If X 1 Root2 Root3 Prove That X 4 4x 3 4x 2 16x 8 0 Cbseassistance



Homework Quiz 1 List All Possible Rational Zeros For The Function F X X 3 4x 2 4x 16 2 Find All Real Solutions Of The Polynomial Equation Solve Algebraically Ppt Powerpoint
Actual dimensions 35in x 35in x 16ft #2 Grade southern yellow pine Severe Weather Ground Contact pressure treated exterior wood protected with Micronized Copper Azole (MCAC) with BARamine provides lasting support and protection for allpurpose applicationsExpand polynomial (x3)(x^35x2) GCD of x^42x^39x^246x16 with x^48x^325x^246x16;14x26x=−16 A) x=−19 B) x=−48 C) x=−4 D) x=−13



Math Level 2 Sat Subject Test Question Of The Day 10 19 19 If 4x 2 3y 2 16 Is Equivalent To X 2 A 2 Y 2 B 2 1 Which Of The Following Could Be The



5 Ways To Solve For X Wikihow
AnswersMore Related Question &The following example lets us practice using the Right Hand Rule and the summation formulas introduced in Theorem 531 Example 534 Approximating definite integrals using sums Approximate ∫4 0(4x − x2)dx using the Right Hand Rule and summation formulas with 16 and 1000 equally spaced intervals Solution



Solve Each System By The Addition Method X 2 Y 2 Chegg Com



2



1



Ppt Solving Multistep Inequalities Powerpoint Presentation Free Download Id



Exercises Limits



Solution How Many Positive Real Numbers Are There In F X X 4 4x 3 6x 2 4x 1 A 1 Or 0 B 2 Or 0 C 4 Or 2 D 2 Or 0



Factorise A X 4 4x 2 16 Ii X 4 4



4 Simplify And State The Restrictions 2x 8 4x 16 A 3x 6x2 5x 1 B X2 4 H X2 X 2 X2 3x Homeworklib



Divide X4 4x2 16 By X2 2x 4 Brainly In



Answered X 2 16 Lim X 3 X 3 18 Lim Cot Bartleby



Chapter 5 Section 4 Example 1 Find A Common Monomial Factor Factor The Polynomial Completely A X 3 2x 2 15x Factor Common Monomial X X 5 X Ppt Download



Simplify X 2 16 4x X 2 X 2 4x X 2 1 X 4 Chegg Com



Q Tbn And9gcsupewn4e1noxsj1iqj8qxgxy1bnkeea8jjy46cpy0 Advgzpbm Usqp Cau



Www Topperlearning Com Answer Prove That The Polynomial F X X4 4x2 6 Has No Zero Ssf1c5yy



Factoring Sending Out The Bat Signal Mathcoachblog



If X 1 2 3 Prove That X 4 4x 3 4x 2 16 8 0 Sarthaks Econnect Largest Online Education Community



greer105examsoln5 Jpg



Math 9 Flip Book Pages 151 0 Pubhtml5



Eschopke Weebly Com Uploads 3 1 7 1 Unit 3 Practice Answers Pdf



How To Solve X In X 1 4 X 1 4 16 Mathematics Stack Exchange



Askhseis Sthn Paragontopoihsh



Www Lexingtonma Org Lhs Wp Content Uploads Sites 7 19 06 Math3b4a Cp1 Finalexam16 Answers Pdf



1 4x 2 10 2 23x 2 16 3 7x 31 9 5 4 7x 12 3x 4 5 3 Gauthmath



1 Solve A X4 4x2 16 0 Chegg Com



Solved Simplify 4x 4 6x 3 6x 2 4 2x 5 2x 4 4x 3 4x 2 3x 5 7124



Simplify X 3 8 X 4 4x 2 16 Youtube



Ex 1 3 4 If F X 4x 3 6x 4 Show That Fof X X



1 X 2 7x 2 2 4x 3 2x 2 4x 10 3 3x 4 4x 3 X 2 X 6 4 10 X 15 5 6x 3 X 2 8x 5 6 8x X 2 14x 35 7 X 7 8 12x Ppt Download



Module 2 Exponential Functions



Solved Evaluate Fg X If F X 4x 2 4 And G X 3x 4 When X 3 Course Hero



X4 4x2 16 Gauthmath



Factoring Polynomials



5 1 5 2 Exponents 8 2 8 8 642 4 2 2 2 2 16 X 2 X Xx 4 X X X Xbase X Exponent 2exponent 4 Exponents Of 1zero Exponents Anything To The Ppt Powerpoint



Number Of Real Solutions Of X 4 8x 2 16 4x 2 12 X 9 Youtube



5 Ways To Solve For X Wikihow



3x2 5sr 9 2 1 X 4 4x X2 Logarithmic Chegg Com



Finding The Square Root Of A Polynomial By Long Division Method



Www Jmap Org Worksheets A Rei B 4 Solvingquadratics5 Pdf



Http Www Eastauroraschools Org Cms Lib Ny Centricity Domain 312 Unit 6 review page 2 Pdf



Http Www Mpsaz Org Rmhs Staff Lxcoleman Trig Test Practice Files Review Chapter 3 Notes Solutions Pdf



1grade 9 June Me 18 19 Ion Nitrogen



View Question Algebra 2 Final Review All Questions I Don T Get



The Symbol Means Radical Or Square Root A X2 2x



Www Shakopee K12 Mn Us Cms Lib07 Mn Centricity Domain 280 Ch6 Solutions Pdf



X 4 4x 2 16 Factorise Brainly In



Http Www Ketteringschools Org Userfiles 21 Exam review answers Pdf



Http Www Prosper Isd Net Cms Lib5 Tx Centricity Domain 2431 Unit 6 test review key Pdf



If X 1 2 What Is The Value Of X 4 4x 3 4x 2 Quora



Solved Show All Work To Identify The Asymptotes And Zero Of The Function F X 4x X 2 16 Course Hero



1 4x 2 10 2 23x 2 16 3 7x 31 9 5 4 7x 12 3x 4 5 3 Gauthmath



Factorise X 4 4x 2 16 Maths Polynomials Meritnation Com



Please Help Me Solve This Thanks Give The Laplace Transform For F X 4 X Sin 3x Homeworklib



Algebra Problem



If Math F X 2 X 2 16 4 X 16 Math When Math X Ne 2 Math Math K Math When Math X 2 Math Is Continuous At Math X 2 Math Then What Is The Value Of Math K Math Quora



Perform The Indicated Operation Simplify If Chegg Com



Rd Sharma Solutions For Class 8 Chapter 7 Factorization Download Free Pdf



Q Tbn And9gctjm1y0 8lttmrqwcc0gil7nfms7mtogvcjdlnpo Bjrsllwrug Usqp Cau



How To Solve X In X 1 4 X 1 4 16 Mathematics Stack Exchange



Factor The Polynomial F X X 4 4x 3 16x 16 Given That 2 And 2 Are Zeros Factored Form F X Wyzant Ask An Expert



R Gravitic Punch Wojek Bodyguard Rubblebelt Boar X4 4x 2 16 Ebay



Factorise X4 4x2 16 Maths Polynomials Meritnation Com



Solve The Equation X 4 4x 2 8x 35 0 Having One Root As 2 I Sqrt 3 Youtube


0 件のコメント:
コメントを投稿